MICROMORPHOLOGICAL INDEX FOR THE EVALUATION OF SOIL EVOLUTION IN CENTRAL SPAIN


C. Dorronsoro
Departamento de Edafología, Facultad de Farmacia, Universidad de Salamanca, Spain

INTRODUCTION

MATERIAL

METHODS

Quantification of micromorphological features

Calculation of micromorphological indices

RESULTS AND DISCUSSION

MICROMORPHOLOGICAL INDICES VERSUS HORIZON DEPTH AT DIFFERENT AGES

General micromorphological index for horizon

Micromorphological index for each property

STEADY STATE

CONCLUSIONS

REFERENCES

 

 

INTRODUCTION


Published studies of soil micromorphology characteristically provide an abundance of detailed information, obtained with polarized light microscopy, on soil features. However, the terminology used is so specialized that access to this information is limited to specialists, who, despite their expertise, are able to identify the degree of soil evolution only after a careful, time-consuming examination of the accompanying exhaustive descriptions.


The objective of this study was to development a simple, quantitative index to evaluate the degree of soil evolution on the basis of micromorphological data. In addition, we used the resulting micro-morphological indices to analyze the evolution of soils in a chronosequence sampled in central Spain.


MATERIAL


The soils examined in this study were from a sequence of fluvial terraces formed by the Tormes River, and located in the towns of Calvarrasa de Abajo (CA), San Pedro del Valle (SP) and Fresno Alhándiga (FA), near the city of Salamanca (central Spain).


As it cut into the surrounding land, the Tormes River formed a series of terraces, typified by horizontal surfaces alternating with marked escarpments. These formations have been termed post-incisive sequences by Vreeken (1975). At least one representative profile was chosen from each of the 12 geomorphological surfaces distinguished (Table 1). The sequence comprised all soils from the riverbank to a terrace 115 m above the riverbed. Soil surfaces were dated by Santoja et al. (1976, 1982, 1984) and by the Instituto Geológico y Minero de España (1982) with archeological and stratigraphical methods. Fluvial deposits range in thickness from 1.5 to 5 m, and consist mainly of gravel and sand produced by the erosion of granites, slates, quartzites and siliceous sediments.


The continental Mediterranean climate was classified as subhumid (mean annual precipitation 463 mm) and mesic (mean annual temperature 11°C). The soils are located on a supramediterranean bioclimatic stage upon an acid substrate. Predominant plant species of the live oak forest were Genisto histricis, Quercetum rotondifoliae and Q. sigmentum, with areas cleared for agriculture; some zones are characterized by more or less open live oak scrub.


METHODS


Quantification of micromorphological features


Quantitative analyses of thin sections of soil were performed by digitizing microscopic images with a Sony DXC-755P television camera attached to a Zeiss Pol Axioplan microscope, and an Apple Macintosh IISi personal computer with a Lumiere Technologie MiniCaptureBoard digiting card. Microscopic images were processed in 8 bit colors with the Electronic Arts Studio8 program to facilitate discrimination of the features to be measured. Quantitative data were collected with the Adobe Photoshop 2.0 program. For each feature, from 10 to 25 fields were measured (real size 2 x 1.4 mm), depending on the heterogeneity of the feature.
Features that could not be discriminated by image digitization were measured directly from the light microscope field by manual counting with a 12.5x, 25 point grid integrating micrometer eyepiece. Counts were made at 9 alternating points through a 10x objective, so that the real distance between adjacent counting points was 0.36 mm. From 500 to 1500 points were measured in each slide, covering a real sampling area of at least 2 cm2. Counts were recorded with a Casio FX 702-P calculator programmed to store simultaneous counts for up to 16 parameters. The latter system was used only to separate the following features: organic matter of Fe/Mn nodules (especially in Ap horizons), textural clay pedofeatures (Bullock et al., 1985) of illuvial origin in sepic domains (Brewer, 1964), depletion pedofeatures, excrement pedofeatures, and quartz and feldspar content, measured in grains larger than 0.2 mm to facilitate rapid identification.


Calculation of micromorphological indices


Using the schemes developed by Bilzi and Ciolkosz (1977) and Harden (1984) for morphological features in soil profiles as a starting point, we have developed an index to evaluate soil evolution. The micromorphological index was calculated from the magnitude of the microscopic changes in horizons with respect to their parent material, defined as fluvial material deposited by the Tormes River.


Nine micromorphological properties were used to calculate the micromorphological index: 1) microstructure (type, grade, void types and abundance of voids), 2) fine material (color and abundance of particles smaller than 0.01 mm), 3) groundmass birefringence (fabric type and proportion of sepic domains), 4) organic matter (degree of alteration, abundance and excrement pedofeatures), 5) hydromorphic features (types and proportions), 6) carbonates (type, thickness and abundance) 7) illuvial clay pedofeatures (texture, degree of orientation, lamination, deformation and compound layering), 8) prevalence of illuvial clay features (thickness and abundance), and 9) mineral alterations (quartz and feldspar content).


An micromorphological index was calculated by the following steps:


1. Description and quantification of selected micromorphological features in parent material and soils.
2. Assessment of the magnitude of difference in micromorphological features (between horizons) and parent material (Table 2).
3. Normalization of each property from 0 to 1. The normal values were obtained by dividing the value calculated for each feature by the maximum value attainable if evolution were allowed to proceed to its endpoint.
These steps were used to calculate the micromorphological index for each property and horizon. The resulting values can be used to obtain either specific indices for each individual property, or a general index for all properties.
4. The micromorphological indices for each property and soil, are obtain by multiplying the normalized value of each property by horizon thickness, and by adding the products for each horizon in a given soil.
5. The general micromorphological index for a given horizon is obtained by adding the micromorphological indices for each property and horizon, and by dividing the sum by the number of properties being considered.
6. The general micromorphological index for a given soil is obtained by multiplying each micromorphological index for all properties of a horizon by horizon thickness, and adding then the resultant products of all horizons.
7. To avoid overestimating soil thickness, the values of each index can be divided by profile thickness (expressed in meters), as proposed by Harden and Taylor (1983), Birkeland (1984a and b) and Busacca (1987) for their indices. This yields an average index per unit soil thickness. A similar procedure can be used to correct the normalized indices for thickness, making this value constant over all soils (Birkeland 1984a and b), and artificially increasing the thickness of the deepest horizon in thin soils, or reducing thickness to a standardized value in very deep soils. Good results were obtained with average micromorphological index per unit soil thickness, while even better results were obtained with micromorphological index when a constant thickness of 3 m was used.


Table 3 gives an example of how the indices described above are calculated for a sample soil.


RESULTS AND DISCUSSION


With age, most horizons become more clearly differentiated. Younger Holocene soils in the area are Xerofluvents and Xerothents, whereas older Holocene soils are Xerochrepts. Late Pleistocene soils are mostly Haploxeralfs, and Middle and Lower Pleistocene soils are predominantly Palexeralfs.


The degree of evolution of these soils was estimated with the horizon and soil indices, for each or all properties.


MICROMORPHOLOGICAL INDICES VERSUS HORIZON DEPTH AT DIFFERENT AGES


General micromorphological index for horizon.


Figure 1 illustrates two overall trends in the distribution of the horizon indices.


The values of these indices increased steadily with soil age. Younger soils consistently yielded values below 0.1, the oldest Holocene soils gave values lower than 0.2, Late Pleistocene soil indices were below 0.3, younger Middle Pleistocene soils were below 0.4, older Middle Pleistocene soils were generally below 0.5, and Lower Pleistocene indices were less than 0.6.


The distribution of general micromorphological index for horizons showed no clear relation with soil depth in younger soils, whereas in older soils, maximum values were obtained in subsurface horizons, at approximately 100 cm in Middle Pleistocene soils, and 200 cm in Lower Pleistocene soils.
Micromorphological index for each property and horizon.


Figures 2 and 3 summarize the values of these indices for some properties analyzed.


The indices for microstructure, fine material, groundmass birefringence and mineral alteration showed tendencies similar to that noted above with respect to the general index. The indices for illuvial clay pedofeatures and prevalence of illuvial clay pedofeatures also tended to increase with age. Maximum values were found in deep horizons in most soils. A possible explanation for this finding is the increased stability of illuvial features given the lack of disturbance of the deeper layers by surface events.


As expected, organic matter index decreased with increasing depth. This index steadily increased and reached a more or less constant values in Late Pleistocene soils.
Carbonate values were highest in deep soil horizons, and were always null in superficial-, as well as in all Holocene, horizons. The general trend was for low indices in Late Pleistocene soils and the highest indices in Middle and Lower Pleistocene soils; no clear relationship, however, was evident.


Hydromorphic indices varied, with highest values in Middle Pleistocene soils, and very low values in Holocene and Lower Pleistocene soils. Minimal values in all horizons of a given profile were found for many soils of very different age. Because hydromorphy was not dependent on the regional water table, soils were affected by unevenly distributed local pockets of water.


The index for microstructure yielded the highest values among all properties studied in 11 of 16 soils (CA2, FA3, CA6, CA12, FA22, SP36b, SP42, CA45, FA63b, FA63c, FA115), and was greater than 0.8 in eight of the oldest soils examined.


Other properties that often produced high index values, although in fewer soils, were fine material, groundmass birefringence, mineral alteration and prevalence of illuviation clay features.


High indices (> 0.8) were found only in the oldest Middle and Late Pleistocene soils (SP36c, SP42, CA45, SP50, FA63b, FA63c, FA115). In the oldest soil (FA115), indices were greater than 0.7 for seven of the nine properties analyzed, reaching unity (highest value possible) for microstructure, presence of illuviation clay features, and prevalence of illuviation clay features.


TRENDS IN MICROMORPHOLOGICAL INDICES WITH AGE


General micromorphological index


The general micromorphological index in the soils we examined increased steadily with age (Fig. 4). The regression equation that described the dependence of this micromorphological index on age showed good fits with both linear (R2 = 0.89) and power models (R2 = 0.92), with minimal dispersion, and a high level of significance (p = 0.0001).


The general micromorphological average index per unit soil thickness showed a clear age dependence only in younger soils, the increases in this value becoming steadily smaller through Middle Pleistocene soils (Fig. 4). The regression equation showed good fit with semilogarithmic models (Y, logX) with minimal dispersion, high correlation coefficients and high levels of significance.


Micromorphological index for each property


The indices for all individual properties tended to increase with age during the early stages of development; these increases continued for most properties throughout the chronosequence.


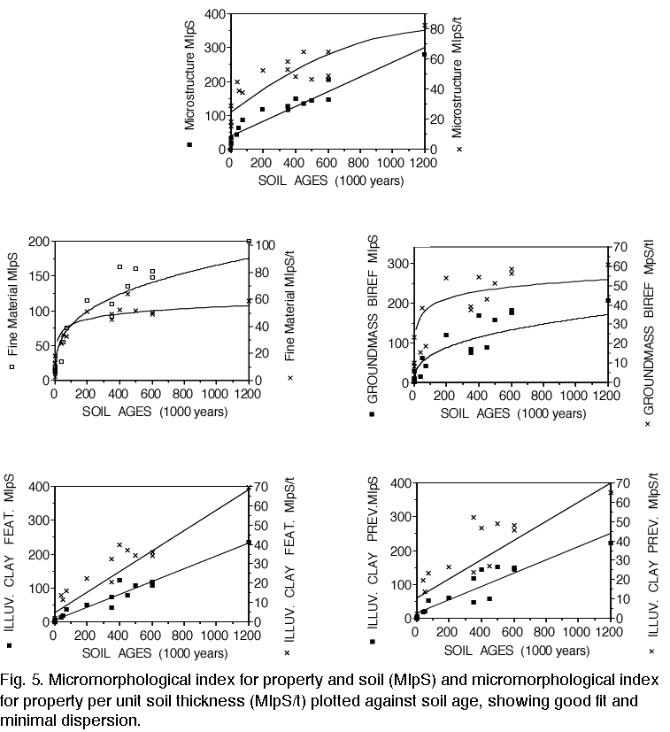
The indices for microstructure, fine material, groundmass birefringence, illuvial clay pedofeatures and prevalence of illuvial clay pedofeatures showed similar behaviors, ie, a marked dependence on age. Regression equations showed good fit to linear and power models, with low dispersion (Fig. 5 and Table 4).


The values for general micromorphological average index per unit soil thickness, in contrast, fit semilogarithmic models (Y, logX), showing significant increases with age only in younger soils (Holocene and Late Pleistocene) (Table 4). High or very high correlation coefficients (R2 > 0.75) were accompanied by high levels of significance The correlation decreased sharply in Middle Pleistocene and older soils. Table 4 summarizes the parameters included in each regression equation, and gives the best fits for each correlation.


Carbonate indices also tended to increase with age, although the correlation coefficients were moderate or low.
The indices for organic matter, hydromorphy and mineral alteration were not significantly related with age, showing only a moderate tendency to increase, especially during the early phases of development (Holocene and Late Pleistocene).


STEADY STATE


A noteworthy observation was that all indices that were closely related with age for microstructure, fine material, groundmass birefringence, illuvial clay pedofeatures and prevalence of illuvial clay pedofeatures increased consistently, but failed to indicate a steady state despite the antiquity of the soils in the this chronosequence.


CONCLUSIONS


The micromorphological index proposed was effective for evaluating, in a simple way, the degree of evolution attained by the soils studied.


We believe that this micromorphological index can be equally useful for soils formed with other, different factors of formation. Quantification of the micrmorphological properties used for calculating the micromorphological index (Table 2) may need certain modifications for particular situations.

 

ACKNOWLEDGEMENTS


This study was supported by the Spanish DGICYT (PB88-0378 and PB90-0542). We thank Ms Karen Shashok for translating the original manuscript into English.

 

REFERENCES


Bilzi, A.F. and Ciolkosz, E.J., 1977. A field morphology scale for evaluating pedological development. Soil Sci. 24: 45-48.
Birkeland, P.W., 1984a. Soil and Geomorphology. Oxford University Press. Inc. N. Y. 372 pp.
Birkeland, P.W., 1984b. Holocene soil chronofunctions, Southern Alps, New Zealand. Geoderma. 34: 115-134.
Brewer, R., 1964. Fabric and mineral analysis of soils. John Wiley and Sons, New York.
Bullock, P.; Fedoroff, N.; Jongerius, A.; Stoops, G.; Tursina, T. 1985. Handbook for soil thin section description. Waine Research Pub. Albrighton. 152 pp.
Busacca, A.J., 1987. Pedogenesis of a chronosequence in the Sacramento Valley, California. U.S.A. I. Application of a soil development index. Geoderma. 41: 123-148.
Harden, J., 1982. A quantitative index of soil development from field description: examples from a chronosequence in central California. Geoderma. 28: 1-28.
Harden, J. and Taylor, E.M. 1983. A quantitative comparaison of soil development in four climatic regimes. Quat. Res. 20: 342-359.
Instituto Geologico y Minero de España, 1982. ¨Mapa Geológico de España¨. 1:50.000. Hoja nº 479 (Peñaranda de Bracamonte).
Santonja, M. and Querol, A. 1976. Estudio de industrias del Paleolítico inferior procedentes de una terraza del Tormes (Galisancho, Salamanca).Zephirus. XXVI-XXVII: 97-109.
Santonja, M.; Querol, A. and Perez Gonzalez, A. 1982. El yacimiento de La Maya I y la secuencia paleolítica del valle del Tormes. Actas de la II Reunión Regional de Geología del Duero (Salamanca, 1979), 2ª parte. 641-662. Temas Geológicos y Mineros, VI, I.G.M.E.
Santonja, M. and Perez Gonzalez, A. 1984. Las industrias paleolíticas de La Maya I en su ámbito regional. Ministerio de Cultura. Excavaciones arqueológicas en España. 347 pp.
USDA. 1975. Soil Taxonomy. Soil Survey Staff. Agriculture Handbook 436. U.S.D.A. Washington.
Vreeken, W.J. 1975. Principal kinds of chronosequences and their significance in soil history. J. Soil Sci. 26: 378-394.