MINISTERIO DE MEDIO AMBIENTE

DIRECCIÓN GENERAL DE CONSERVACIÓN DE LA NATURALEZA

PROYECTO LUCDEME
MAPA DE SUELOS

ESCALA 1:100000

LOJA - 1025

1997

MINISTERIO DE MEDIO AMBIENTE

DIRECCIÓN GENERAL DE CONSERVACIÓN DE LA NATURALEZA

PROYECTO LUCDEME
MAPA DE SUELOS

Escala 1:100.000

LOJA - 1025

1997

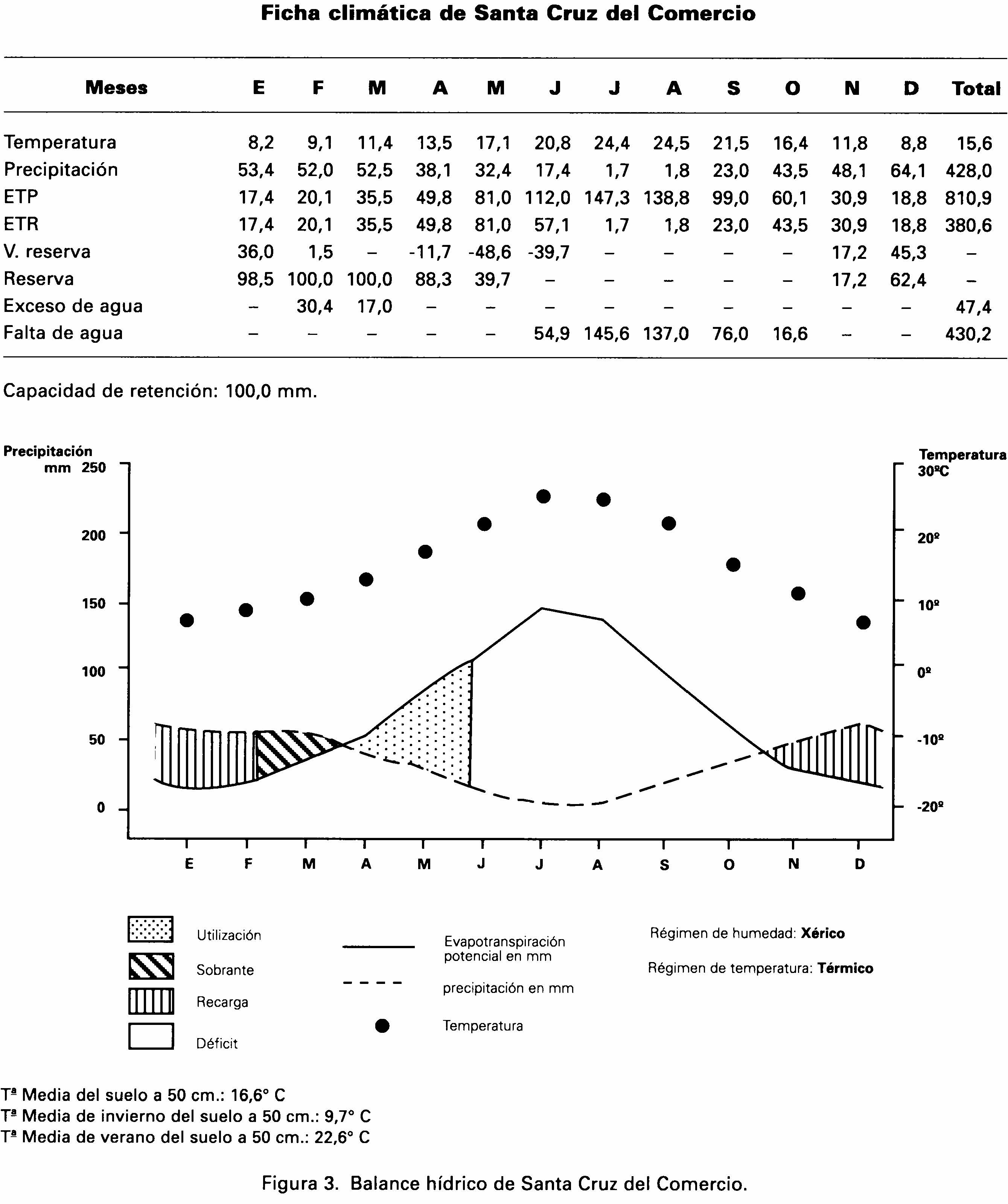
Para expresar gráficamente la duración del período seco (figura 4), desarrollamos el diagrama ombrotérmico de Gaussen, comprobando igualmente la existencia de un solo período seco y, por tanto, que se trata de un clima monoxérico, con cuatro meses secos (junio, julio, agosto y septiembre) y uno subseco (mayo).

No hay datos referentes a humedad relativa, viento, insolación, nubosidad y niebla, aunque por experiencia se sabe que no son significativos en las áreas de cultivo para el uso que actualmente se les da. En la zona de Sierra Gorda, sin embargo, sí pueden tener cierta relevancia y tenerse en cuenta a la hora de planificar repoblaciones y otros usos.

PERFIL NÚM. Moraleda-1

CARACTERÍSTICAS MACROMORFOLÓGICAS

Localización: Entre el torreón de los Tajos y las Casillas.
Coordenadas: 305VG407541108. Altitud: 735 m.
Posición fisiográfica: Pendiente convexa.
Topografía circundante: Ondulado.
Pendiente: Suavemente inclinado.
Vegetación: Olivos.
Material original: Conglomerado de Moraleda.
Drenaje: Bien drenado.
Profundidad del manto: Desconocida.
Humedad: De campo. Pedregosidad:
Pedregoso a ripioso.
Afloramientos rocosos: No.
Erosión: Hídrica laminar.
Influencia humana: Laboreo.
Clasificación: Regosol calcárico (FAO, 1988).

Xerorthent típico (USDA, 1990).

Hor. Prof. cm. Descripción

Ap 0-22 Color 5YR 5/4 (pardo rojizo) y SYR 3/3 (pardo rojizo oscuro en húmedo; textura franco arcillosa; estructura granular fina a media moderada; ligeramente adherente, plástico, friable y duro; pocos poros finos y muy finos, otros tubulares, imped; pocas gravas, fuertemente calcáreo; raíces comunes finas y muy finas; límite inferior brusco y plano.

2C 22-41 5YR 6/5 (pardo rojizo claro a amarillo) en seco y en húmedo 5YR 4/6 (rojo amarillento); textura franco-arcillo-limosa; estructura granular gruesa débil; muy duro, friable, plástico y adherente; cutanes de presión; pocos poros finos y muy finos caóticos, imped; pocas gravas con distinto grado de meteorización y naturaleza calcárea; fuertemente calcáreo; sin raíces; límite brusco y plano.

3C >41 Color 5YR 5/8 (rojo amarillento en seco) y más oscuro en húmedo; manchas rojizas difusas; textura franco limosa; estructura en bloques subangulares; duro, friable, adherente y plástico; cutanes de presión; sin raíces; muchas piedras y gravas de naturaleza caliza y distinto grado de meteorización; fuertemente calcáreo.

PERFIL NÚM. Cacín-6

CARACTERÍSTICAS MACROMORFOLÓGICAS

Localización: A 300 m al SW del cortijo de las Chozas.

Coordenadas: 30SVG4198/41010.

Altitud: 780 m.

Posición fisiográfica: Ladera.

Topografía circundante: Ondulada.

Pendiente: Suavemente inclinado.

Vegetación: Almendros.

Material original: Yesos.

Drenaje: Moderadamente bien drenado.

Profundidad del manto: Desconocida.

Humedad: Seco.

Pedregosidad: Pedregoso.

Afloramientos rocosos: No.

Erosión: Fuerte hídrica laminar y en surcos.

Influencia humana: Antropización por cultivo.

Clasificación: Regosol gypsico (FAO, 1988) Xerorthent lítico (USDA, 1990)

Hor. Prof. cm. Descripción
Ap 0-15 Color en seco 2,5Y 7/3 (amarillo pálido) y en húmedo 2,5Y 5/2 (pardo grisáceo); textura franca; estructura granular fina; ligeramente adherente, ligeramente plástico, friable, ligeramente duro; poros finos y muy finos, caóticos intersticiales, exped; frecuentes gravas planares que son de yeso; calcáreo; raíces comunes finas y medianas; límite neto y plano.
Cy >15 Sedimentos yesíferos con costras que no superan los 5 cm, separados entre sí por más de 20 cm.
GYPSISOLES

Con esta denominación cartografiamos los Xerosoles gypsicos de la antigua clasificación FAO (1974). Son suelos, por tanto, con régimen de humedad arídico o su intergrado arídico xérico (Ortega, et al., 1990), que tienen además dentro de la zona uno o más de los siguientes horizontes diagnóstico: cámbico, gypsico o petrogypsico.

En todo el territorio al este del río Cacín, el perfil modal es del tipo A-Cy-C, A-Cmy-Cy o A-Bwy-Cy, con un horizonte A débilmente orgánico a causa de la fuerte deforestación y la labranza o si se conserva la vegetación climácica a causa de un pastoreo incontrolado.

La presencia de este grupo de suelos está relacionada con la existencia de materiales pertenecientes al Mioceno Superior Marino, donde los niveles litológicos corresponden a yesos con lutitas y carbonatos, cuya ordenación alternante en la cuenca es de índole turbidítica para Dabrio et al. (1982), donde el yeso es el componente clástico y las lutitas son el intervalo pelágico, mientras que IGME (1988) descarta esta posibilidad, indicando que se debe a factores esencialmente climáticos.

La composición estratigráfica puntualiza la posición y dispersión de las dos unidades de suelos Gypsisoles pétricos y Gypsisoles háplicos, representantes genuinos de este grupo de suelos que se asocian cartográficamente a los Regosoles gypsicos, con una disposición que está ligada a variaciones físico-químicas del medio, que son en último caso los responsables de la posible movilización de yeso y por tanto de que desarrollen las propiedades yesíferas en intensidad tal que delimiten las distintas tipologías.

El uso de estos suelos es muy reducido dado el contenido en yeso de ahí que se conserven amplias masas constituidas por chaparros y retamas; actualmente se van roturando y se dedican a explotaciones arbóreas dentro de la cuales dominan los almendros y en las zonas con mayor potencia de suelo los olivares.

Unidad equiparable con los Xerochrepts gypsicos de la clasificación americana, sin la matización del horizonte petrogypsico o gypsico.

CALCISOLES

Son suelos que pueden considerarse como intergrados entre Regosoles y Cambisoles en los ambientes edáficos marcados por un régimen de humedad arídico o próximo a él (Ortega et al., 1990).

El perfil modal puede o no presentar horizonte cámbico; en este último caso hay evidencias de la movilización secundaria de carbonato cálcico que han quedado marcadas en forma de nódulos blanquecinos.

Bajo el horizonte cámbico o directamente subyacente al horizonte A debe existir horizonte cálcico (Calcisoles háplicos) o petrocálcico (Calcisol pétrico), cuya profundidad frente al epipedón es básica para aconsejar sobre el uso adecuado que se le debe dar a estos suelos, hoy dedicados a cereales, almendros y en menor frecuencia a olivar.

Su disposición geográfica está ligada a la naturaleza de los materiales geológicos y así los calcisoles háplicos, unidad de máxima representación en todo el tramo occidental de la hoja, desarrollan fundamentalmente sobre margocalizas y margas; esporádicamente pueden tener horizonte árgico (Calcisoles lúvicos), como hemos podido ver al norte del espartal aunque su extensión es minoritaria.

Donde se mantiene el techo de la Formación, constituido por caliza y brechas calcáreas, los suelos son más superficiales y el horizonte cálcico alterna con el petrocálcico. La dureza del sustrato y del propio horizonte de diagnóstico (petrocálcico), unido a la superficialidad del mismo dificultan el uso agrícola y ello ha provocado la conservación de la vegetación natural, espartal, retamar o chaparral según sea el índice de degradación del sistema.

Por el régimen de humedad xérico y tener horizonte cálcico o petrocálcico, se clasifican según Soil Taxonomy (1990) dentro de los subgrupos Xerochrepts calcixerólico o petrocálcico respectivamente.

PERFIL NÚM. Cacín 1.

CARACTERÍSTICAS MACROMORFOLÓGICAS

Localización: Al este de la Atalaya de Agrón.
Coordenadas: 30SVF4224/40980.
Altitud: 1100 m.
Posición fisiográfica: Ladera convexa.
Topografía circundante: Fuertemente ondulado.
Pendiente: Inclinado.
Vegetación: Espartal.
Material original: Margas grisáceas.
Drenaje: Moderadamente bien drenado.
Profundidad del manto: Desconocida.
Humedad: Seco.
Pedregosidad: Ligeramente pedregoso.
Afloramientos rocosos: Ligeramente rocoso.
Erosión: Fuerte hídrica laminar y en surcos.
Influencia humana: Pastoreo.
Clasificación: Gypsisol pétrico (FAO, 1988).

Xerochrept gypsico (USDA, 1990).

Hor. Prof. cm. Descripción
Ap 0-33 En seco tiene un color 2,5Y 6,5/2 (entre gris claro y gris pardusco claro) que pasa en húmedo a 2,5Y 5/2 (pardo grisáceo); textura francoarcillosa; estructura granular media; adherente, plástico, friable y duro; abundantes poros finos y medianos exped; pocas gravas que son planares y angulosas; calcáreo; presencia de hormigueros; abundantes raíces en los primeros 15 cm y comunes a partir de esta profundidad; límite brusco y plano.
Cy 33-77 Color en seco 2,5Y 8/2 (blanco) y en húmedo 2,5Y 7/3 (amarillo pálido); textura franco limosa; estructura granular media; ligeramente adherente, plástico, muy friable, ligeramente duro; poros comunes, caóticos, intersticiales, finos y muy finos exped; abundantes gravas dispuestas en estratos; sin raíces; calcáreo; límite neto y plano.
Cmy > 77 Horizonte petrogypsico con bancos de yeso de potencia que oscila de 3 a 5 centímetros, alternando con margas ricas en cristalaria de yeso.

PERFIL NÚM. Cacín-4

CARACTERÍSTICAS MACROMORFOLÓGICAS

Localización: A cien metros al sureste de Cacín.
Coordenadas: 30SVG418941017.
Altitud: 720 m.
Posición fisiográfica: Ladera cóncava.
Topografía circundante: Ondulado.
Pendiente: Inclinado.
Vegetación: Cultivo de cebada.
Material original: Margas.
Drenaje: Moderadamente bien drenado.
Profundidad del manto: Desconocida.
Humedad: Seco.
Pedregosidad: Algunas piedras.
Afloramientos rocosos: No existen.
Erosión: Hidrica laminar y en surcos.
Influencia humana: Cultivos.
Clasificación: Gypsisol háplico (FAO, 1988)

Xerochrept gypsico (USDA, 1990)

Hor. Prof. cm. Descripción

Ap 0-15/35 En seco presenta un color 2,5Y 7/2 (gris claro) que pasa en húmedo a 2,5Y 5/2 (pardo grisáceo); textura franco arcillosa; estructura granular mediana; ligeramente adherente, plástico, friable y duro; frecuentes poros finos y muy finos, verticales, horizontales y oblicuos, exped; nódulos zonales de yeso; fuertemente calcáreo; raíces comunes, finas y muy finas, sobre todo en los cinco primeros centímetros; límite ondulado y neto.

Cy1 15/35-53 Color en seco 2,5Y 7/2 (gris claro) y en húmedo 2,5Y 572 (pardo grisáceo); textura franco limosa; estructura en bloques subangulares medianos; adherente, plástico, friable y duro; poros comunes verticales, oblicuos y horizontales; abundantes nódulos de yeso que se orientan con las grietas y hacia la base el yeso es más nodular; raíces finas que disminuyen con la profundidad; límite neto y plano.

Cy2 >53 Margocaliza de color 2,5Y 7/2 (gris claro) que en húmedo tiene un color 2,5Y 6/2 (gris pardusco claro); textura franca; estructura en bloques angulares de fractura concoidea; abundante cristalaria y nódulos de yeso; sin raíces.

PERFIL NÚM. Moraleda 16

CARACTERÍSTICAS MACROMORFOLÓGICAS

Localización: Al N de las Casillas.
Coordenadas: 30SVG40894117.
Altitud: 700 m.
Posición fisiográfica: Ladera convexa.
Topografía circundante: Ondulado.
Pendiente: Inclinado.
Vegetación: Olivar.
Material original: Calizas.
Drenaje: Bien drenado.
Profundidad del manto: Desconocida.
Humedad: Seco.
Pedregosidad: Moderadamente pedregoso.
Afloramientos rocosos: No.
Erosión: Laminar.
Influencia humana: Antropización por cultivo.
Clasificación: Calcisol háplico (FAO, 1988).

Xerochrept calcixerólico (USDA, 1990).

Hor. Prof. cm. Descripción
Ap 0-20 Color pardo claro (7,5 YR 6/4) en seco que en húmedo pasa a pardo (7,5 YR 5/4); Textura franco arcillosa; estructura en bloques subangulares finos, moderada; ligeramente duro; friable; ligeramente adherente y plástico; comunes poros finos y muy finos, caóticos, imped; pocas gravas redondeadas, calcáreas y bien conservadas; fuertemente calcáreo; frecuentes raíces finas y muy finas y fuerte actividad biológica (hormigueros y lombrices); límite neto y plano.
A/C 20-39 Color rosado (2,5 YR 7/4) en seco que en húmedo pasa a pardo (7,5 YR 5/4); Textura franco arcillosa; estructura en bloques subangulares medianos, fuerte; duro; firme; adherente y plástico; frecuentes poros finos y muy finos, tubulares, cerrados y otros oblicuos, imped; aumenta el tamaño y número de gravas que están poco meteorizadas; pocos nódulos, pequeños y difusos; fuertemente calcáreo; pocas raíces finas y muy finas; límite gradual y plano.
Ck > 39 Color pardo amarillento (7,5 YR 7/4) en seco y húmedo; Textura franco arcillosa; estructura y consistencia igual que en el horizonte superior; aumentan las gravas y el número de nódulos calcáreos y decrecen las raíces.

PERFIL NÚM. Moraleda 41

CARACTERÍSTICAS MACROMORFOLÓGICAS

Localización: Cerro de Luque.

Coordenadas: 30SVG412041095.

Altitud: 720 m.

Posición fisiográfica: Pendiente convexa.

Topografía circundante: Ondulado.

Pendiente: Inclinado.

Vegetación: Olivar de reciente implantación.

Material original: Limos.

Drenaje: Bien drenado.

Profundidad del manto: Desconocida.

Humedad: Seco.

Pedregosidad: Pedregoso.

Afloramientos rocosos: No.

Erosión: Laminar.

Influencia humana: Hoyos para olivos.

Clasificación: Calcisol petrocálcico (FAO, 1988) Xerochrept petrocálcico (USDA, 1990).

Hor. Prof. cm. Descripción
Ap 0-19 Color pardo rojizo oscuro (7,5 YR 5/3) y algo más oscuro en húmedo (7,5 YR 4/3); Textura franco arenosa; estructura fina, débil; muy friable; adherente y ligeramente plástico; abundantes gravas calizas y areniscosas bastante meteorizadas; abundantes piedras calizas; fuertemente calcáreo; abundantes raíces finas y muy finas y fuerte actividad biológica; límite brusco y plano.
Cmk 19-23 Costra calcárea fuertemente cementada.
Ck > 23 7,5 YR 7/3 en húmedo y más claro en seco 7,5 YR 5/2; franco limoso; sin raíces; fuertemente calcáreo.
NITISOLES

Se integran dentro de un paisaje típicamente kárstico que ocupa las dos quintas partes de la Hoja en el sector occidental y ha desarrollado a partir de materiales secundarios pertenecientes al Subbético Interno.

Limita por tanto su presencia al macizo de Sierra Gorda y ocupa específicamente las colinas que la disolución de las calizas han generado, que son casi omnipresentes en el área descrita donde muestran multiplicidad de formas y tamaños, desarrollando frecuentes uvalas.

Los suelos de estas formaciones se caracterizan por la existencia de un horizonte árgico muy potente y evolución levemente progresiva dentro de los 150 cm. a partir de la superficie.

Son suelos muy arcillosos e intensamente rojos, con estructura fuerte en bloques angulosos y prismáticos fácilmente desmoronables en subunidades poliédricas con caras brillantes merced a superficies de presión y finos cutáneos de arcilla.

Tienen un horizonte Ah bastante orgánico, cuyo desarrollo está ligado a la densidad del pastizal que cubre las parcelas níticas, de ahí que pueda ser como ócrico o móllico.

Los horizontes Bt, rojos y brillantes, superan el 60% de arcilla y dicho porcentaje se incrementa poco con la profundidad; está decarbonatado y por lo general poco o nada enraizado permitiendo el descenso brusco de materia orgánica respecto del epipedon; el pH está próximo a la neutralidad y la capacidad de cambio elevada, sobre todo en los horizontes A, que a su vez están saturados en bases con claro dominio del calcio sobre los demás cationes de cambio. La capacidad de almacenaje de agua útil es en todos los casos muy alta.

Dos unidades se han cartografiado: Nitisoles húmicos y ródicos respectivamente, desapareciendo la unidad más orgánica cuando el epipedón ha sido alterado por el hombre en los ensayos de diversos usos (nogales, pino..., etc.).

La potencia del horizonte argíllico y el pequeño gradiente textural existente entre los horizontes Bt del perfil, permiten su inclusión en la clasificación americana dentro de los subgrupos Palexeralf háplico y móllico.

LUVISOLES

Se han cartografiado en dos superficies morfoestructurales bien diferenciadas litológicamente: Sierra Gorda, donde han evolucionado a partir de micritas blancas con abundantes foraminíferos bentónicos o de tonos grises con nódulos de sílex en las arcillas de decalcificación y en segundo lugar sobre las pequeñas mesas (restos de glacis), ubicadas en la zona norte de la Hoja, a la izquierda de los ríos Alhama y Salar, respectivamente, que se dedican exclusivamente a olivar.

Dos unidades de Luvisoles han sido cartografiadas Luvisoles crómicos en los ambientes kársticos y Luvisoles cálcicos en las mesas.

Ambas tipologías se caracterizan por su intenso color rojo y chroma alto dentro del horizonte iluvial, con gran potencia en el caso de los suelos de Sierra Gorda, discontinuos ya que sólo se conservan de forma relicta en las grandes grietas, mientras que en los glacis residuales su potencia está en el límite para ser considerados como Luvisoles y no como Calcisoles lúvicos o háplicos, debido a la intensidad de los procesos erosivos, como sucede de forma generalizada en la zona de las Encinillas.

Todos ellos tienen el complejo de cambio saturado en más del 80% y la capacidad de cambio supera los 35 cmol kg-1; el pH es neutro o ligeramente básico y su capacidad de almacenar agua útil elevada, factores que favorecen el uso agrícola de estas unidades, que como se ha señalado es fundamentalmente oleícola, salvo en la zona de sierra donde la propia composición pedónica de la unidad cartográfica marca la limitación de uso y favorece que se conserve la vegetación natural (espartal-romeral-pastizal).

Son suelos muy rojos y tienen un régimen de humedad xérico, motivo por el que se incluyen como Rhodoxeralfs, pudiendo cartografiarse diferentes subgrupos: rúptico, lítico, cálcico, petrocálcico o típico.

PERFIL NÚM. Sierra Gorda 1

CARACTERÍSTICAS MACROMORFOLÓGICAS

Localización: Al sur del Cerro de la Palomera.

Coordenadas: 30SVG401441005.

Altitud: 138 m.

Posición fisiográfica: Dolina.

Topografía circundante: Fuertemente socavado.

Pendiente: Llano o casi llano.

Vegetación: Pastizal con esparto.

Material original: Caliza.

Drenaje: Escasamente drenado.

Profundidad del manto: Desconocida.

Humedad: Humedad de campo.

Pedregosidad: Sin piedras o con muy pocas.

Afloramientos rocosos: Ninguno o muy pocos.

Erosión: Ninguna.

Influencia humana: Repoblaciones pinos y nogales recientes.

Clasificación: Nitisol rhódico (FAO, 1988) Palexeralf háplico (USDA, 1990).

Hor. Prof. cm. Descripción
Ap 0-10 Color en seco pardo rojizo (2,5YR 4/4) que pasa a pardo rojizo oscuro en húmedo; textura franco arcillosa; duro; firme, adherente y plástico; frecuentes raíces, finas y muy finas; pocas gravas calizas; frecuentes poros, finos y medianos, continuos, horizontales, oblicuos y vesiculares imped; límite gradual y plano; ligeramente calcáreo.
Bt1 10-40 Color en seco rojo (2,5YR 4/6), que pasa a rojo oscuro en húmedo (2,5YR 3/6); textura...; ligeramente duro; friable, adherente, plástico; frecuentes poros finos y muy finos, continuos, horizontales, tubulares, imped; pocos medianos, continuos verticales y horizontales, imped; muy pocas gravas; pocas raíces finas y muy finas; no calcáreo; límite gradual y plano.
Bt2 40-74 Olor en seco rojo (2,5YR 4/8) que en húmedo pasa a rojo oscuro (2,5YR 3/6); textura arcillo limosa; firme, muy adherente y muy plástico; los poros se observan en igual cantidad y naturaleza en todos los horizontes superiores; sin grava; muy pocas raíces al igual que en los horizontes siguientes; no calcáreo; límite gradual y plano.
Bt3 74-110 En seco presenta color rojo (2,5YR 4/6) que pasa a rojo oscuro en húmedo (2,5YR 3/6); textura arcillo limosa; muy duro, firme muy adherente y muy plástico; mismo tipo de poros que en el horizonte anterior; sin raíces; no calcáreo; límite gradual y plano.
Bt4 >110 Color rojo en seco (10R 4/8) que pasa a rojo oscuro en húmedo (10R 3,5/6); textura arcillosa; muy duro, firme, muy adherente, muy plástico; igual tipo de poros que en el horizonte anterior; límite gradual y plano; ligeramente calcáreo; la roca caliza comienza a aparecer de forma discontinua por debajo de los 175 cm.

PERFIL NÚM. Moraleda-6

CARACTERÍSTICAS MACROMORFOLÓGICAS

Localización: Al suroeste de Moraleda de Zafayona.
Coordenadas: 30SVG412541115.
Altitud: 715 m.
Posición fisiográfica: Planicie.
Topografía circundante: Plano o casi plano.
Pendiente: Llano o casi llano.
Vegetación: Olivar.
Material original: Calizo.
Drenaje: Imperfectamente drenado.
Profundidad del manto: Desconocida.
Humedad: De campo.
Pedregosidad: Moderadamente pedregoso.
Afloramientos rocosos: ninguno.
Erosión: Hídrica laminar y en pequeños surcos.
Influencia humana: Roturadones para cultivo de olivo.
Clasificación: Luvisol cálcico (FAO, 1988).

Rhodoxeralf petrocálcico (USDA, 1990).

Hor. Prof. cm. Descripción

Ap 0-20 Color rojo en seco (2,5YR 4/6) que se mantiene en húmedo; textura arcillosa; estructura en bloques angulares medianos; ligeramente duro, friable, adherente y plástico; frecuentes raíces finas y muy finas; ligeramente calcáreo; frecuentes gravas calcáreas y angulares; límite plano y brusco.

Bt 20-30 Color rojo en seco (2,5YR 4n) que pasa a rojo oscuro en húmedo (2,5YR 3/6); textura arcillosa; estructura en bloques angulares gruesos, duro firme adherente y plástico; no calcáreo; pocas gravas y de menor tamaño que en el horizonte Ap; raíces comunes finas y muy finas; poros finos y medianos, oblicuos y horizontales; límite brusco y plano.

Cmk > 30 Costra calcárea fuertemente cementada a la que subyacen otros horizontes cálcicos.

PERFIL NÚM. Moraleda-7

CARACTERÍSTICAS MACROMORFOLÓGICAS

Localización: 3 kilómetros al suroeste de Moraleda de Zafayona.

Coordenadas: 30SVG412541122.

Altitud: 717 m.

Posición fisiográfica: Meseta.

Topografía circundante: Plano o casi plano.

Pendiente: Llano o casi llano.

Vegetación: Olivos.

Material original: Caliza.

Drenaje: Bien drenado.

Profundidad del manto: Desconocida.

Humedad: Seco.

Pedregosidad: Sin piedras.

Afloramientos rocosos: No.

Erosión: Hídrica laminar.

Influencia humana: Hoyos para la plantación de olivos.

Clasificación: Luvisol cálcico (FAO, 1988). Rhodoxeralf petrocálcico (USDA, 1990).

Hor. Prof. cm. Descripción
Ap 0-15/21 Color en seco 10R 3/4 (rojo oscuro) y el mismo color, un poco más oscuro en húmedo; textura arcillosa; estructura moderada en bloques subangulares medianos; ligeramente adherente, plástico, friable, ligeramente duro; frecuentes poros, finos y muy finos, continuos, caóticos, imped; pocas gravas, angulosas y subredondeadas de naturaleza cuarcítica; ausencia de carbonatos; límite neto y ondulado.
Bt 15/21-61 En seco presenta un color 10R 3/6 (rojo oscuro), que lo mantiene en húmedo; textura arcillosa; estructura prismática gruesa; adherente, plástico, friable y duro; cutanes continuos, moderadamente espesos, de minerales arcillosos con óxidos de hierro; grandes poros verticales y horizontales; decrece el número de gravas que son de igual naturaleza y forma que en el horizonte Ap; ausencia de carbonatos; abundantes raíces finas y muy finas en el sentido de las grietas; límite neto y ondulado.
CAMBISOLES

Estos suelos constituyen el estadio de evolución inmediato a los Regosoles a los que se asocian cartográficamente. Son suelos que tienen un horizonte B cámbico y en la zona de estudio únicamente presentan horizonte A ócrico; están carbonatados a fuertemente carbonatados en todo el perfil y las diferencias que nos permiten cartografiar distintas unidades están marcadas por la textura y así hablaremos de Cambisoles calcáricos si carecen de propiedades vérticas y Cambisoles vérticos cuando si las presentan.

El horizonte B cámbico no está impregnado de carbonato cálcico en cuyo caso habría que asimilarlo a los Calcisoles unidad ésta con la que se asocia cartográficamente.

El horizonte A tiene espesores comprendidos entre 10 y 25 cm. y los colores del mismo van de pardo pálido a rojo amarillento. A este horizonte le sigue el B de alteración con un espesor medio de 40 cm y colores algo más rojizos con chromas más altos que los del epipedón. Puede o no existir horizonte cálcico pero en ningún caso como ya se ha señalado los nódulos calcáreos contaminan el horizonte B.

La textura más frecuente de estos suelos es franca fina seguida de la arcillosa.

Los materiales originales son muy variados y desarrollan tanto sobre arenas y gravas aluviales como sobre calizas, limos calcáreos, conglomerados y coluviones. Los Cambisoles vérticos se han formado a partir de materiales arcillosos del Mioceno y en las hondonadas donde se han acumulado las arcillas erosionadas de los suelos vecinos.

Son suelos que aparecen repartidos en toda el área de forma irregular y su uso práctico es el mismo que el de los Regosoles calcáricos, o sea cereales y olivos; cuando la textura es fina predomina el olivar y se asocia a otros cultivos como el girasol, legumbres, etc.

Todos ellos se clasifican como Inceptisoles por tener horizonte cámbico y se han podido describir los siguientes subgrupos de Xerochrepts: lítico, rupti-lítico, vértico, gypsico y típico.

PERFIL NÚM. Salar-23

CARACTERÍSTICAS MACROMORFOLÓGICAS

Localización: 1,5 km al suroeste de Salar.
Coordenadas: 30SVG042042115.
Altitud: 640 m.
Posición fisiográfica: Ladera convexa.
Topografía circundante: Ondulado.
Pendiente: Inclinado.
Vegetación: Olivar.
Material original: Margas rojas.
Drenaje: Moderadamente bien drenado.
Profundidad del manto: Desconocida.
Humedad: Seco.
Pedregosidad: Muy pedregoso.
Afloramientos rocosos: No.
Erosión: Hídrica laminar y en surcos.
Influencia humana: Cultivo de olivar.
Clasificación: Cambisol calcárico (FAO, 1988).

Xerochrept típico (USDA, 1990).

Hor. Prof. cm. Descripción

Ap 0-11 Color en seco 5YR 4/3 (pardo rojizo) y en húmedo 5YR 3/3 (pardo rojizo oscuro); textura arcillo limosa; estructura granular media a gruesa, bien desarrollada; ligeramente adherente, plástico, friable, ligeramente duro; frecuentes poros de todos tamaños, intersticiales, continuos, caóticos, exped e imped; frecuentes gravas subangular es de naturaleza caliza; fuertemente calcáreo; raíces comunes finas y muy finas; límite brusco y plano.

Bw 11-34 En seco presenta un color 7,5YR 4/3 (pardo oscuro) y en húmedo 7,5YR 3/2 (pardo oscuro); textura arcillo limosa; estructura granular media; ligeramente adherente, muy friable, ligeramente duro; frecuentes poros finos y muy finos, verticales, horizontales y oblicuos, intersticiales, abiertos, exped e imped; decrece el número y tamaño de las gravas de igual naturaleza que en el horizonte anterior; calcáreo; aumentan las raíces medianas; se observan restos de actividad biológica; límite neto y plano.

BC 34-54 Presenta un color más rojizo que el horizonte anterior 5YR 4/4 (pardo rojizo), que en húmedo pasa a 5YR 3/3 (pardo rojizo oscuro); textura arcillosa; estructura en bloques subangulares medianos; adherente; plástico; muy friable; ligeramente duro; frecuentes poros finos; abundantes gravas subredondeadas de naturaleza caliza; calcáreo; decrece el número de raíces; límite gradual.

C > 54 En este horizonte aumenta sensiblemente el número de gravas que son subredondeadas y de naturaleza caliza; color, 5YR 6/6 (amarillo rojizo) y en húmedo 7,5YR 4/4 (pardo oscuro); sin raíces.

PERFIL NÚM. Polje de las Pilas de Dedil-1

CARACTERÍSTICAS MACROMORFOLÓGICAS

Localización: Polje de la Pilas de Dedil.

Coordenadas: 30SVF405140991.

Altitud: 930 m.

Posición fisiográfica: Suave pendiente cóncava.

Topografía circundante: Plano o casi plano al oeste y fuertemente ondulado al este.

Pendiente: Suavemente inclinado.

Vegetación: Cultivos (habas).

Material original: Caliza.

Drenaje: Moderadamente bien drenado.

Profundidad del manto: Desconocida.

Humedad: Húmedo todo el perfil.

Pedregosidad: Moderada.

Afloramientos rocosos: Ninguno.

Erosión: Hídrica laminar y algunos surcos.

Influencia humana: Cultivos.

Clasificación: Cambisol calcárico (FAO, 1988) Xerochrept típico (USDA, 1990).

Hor. Prof. cm. Descripción
Ap 0-10 Color 5YR 3/3 (pardo rojizo oscuro que se oscurece algo en húmedo 5YR 3/2; textura franco arcillosa; estructura en bloques subangulares medianos; adherente, plástico, friable y duro; frecuentes poros intersticiales; pocos poros continuos, imped, oblicuos; algo más abundantes exped, oblicuos y horizontales; pocas gravas que son redondeadas, de naturaleza caliza; calcáreo; raíces comunes de tamaño fino y muy fino, pocas medianas; límite brusco y plano.
Bw 10-43 En seco presenta un color 5YR 3/3 (pardo rojizo oscuro), que se oscurece algo en húmedo 5YR 3/3 (pardo rojizo oscuro); textura franco-arcillo-arenosa; estructura moderada, en bloques subangulares; adherente, plástico, firme y duro; no se observan cutanes; poros semejantes a los del horizonte anterior, aumentando algo de tamaño los exped; se mantienen las gravas de la misma forma y naturaleza que en el horizonte anterior; calcáreo; pocas raíces finas y medianas; límite neto y plano.
C > 43 Color 5YR 5/6 (rojo amarillento) en seco que pasa a algo más oscuro en húmedo 5YR 4/6; textura franca; estructura en bloques subredondeados; frecuentes poros intersticiales finos y muy finos, imped; decrecen en número y tamaño de las gravas que siguen siendo de igual naturaleza; calcáreo; muy pocas raíces; límite brusco.

PERFIL NÚM. Santa Cruz del Comercio-11

CARACTERÍSTICAS MACROMORFOLÓGICAS

Localización: Olivar del arroyo Matajacas (1 km al E de S. Cruz).

Coordenadas: 30SVG411441018.

Altitud: 920 m.

Posición fisiográfica: Pendiente convexa.

Topografía circundante: Ondulado.

Pendiente: Inclinado.

Vegetación: Olivar.

Material original: Margas verdosas.

Drenaje: Moderadamente bien drenado.

Profundidad del manto: Desconocida.

Humedad: Seco.

Pedregosidad: Moderadamente pedregoso.

Afloramientos rocosos: No.

Erosión: Hídrica laminar y en surcos.

Influencia humana: Plantación reciente de olivos.

Clasificación: Cambisol vértico (FAO, 1988). Xerochrept vértico (USDA, 1990).

Hor. Prof. cm. Descripción
Ap 0-14 Color en seco 10YR (pardo muy pálido) que pasa en húmedo a 10YR 6/3 (pardo pálido); textura arcillosa; estructura granular, mediana; ligeramente adherente, plástico, friable y duro; frecuentes poros, finos, muy finos y medianos, verticales, horizontales y oblicuos, exped; abundantes gravas redondeadas y subangulares de naturaleza caliza; fuertemente calcáreo; abundantes raíces, finas y muy finas; límite plano y neto.
Bw 14-31 En seco presenta un color 10YR 7/2 (gris claro) y en húmedo 10YR 6/3 (pardo pálido), con manchas difusas de color 5Y 7/3 (amarillo pálido); textura arcillosa; más estructurado, en bloques subangulares medianos; adherente, friable a firme, muy duro; cutanes zonales depresión; abundantes poros, finos y medianos, verticales, horizontales y oblicuos, exped; disminuyen considerablemente las gravas que siguen siendo de igual naturaleza; fuertemente calcáreo; decrece sensiblemente el número de raíces; límite neto y plano.
C > 31 Color en seco 5Y 7/2 (gris claro) y en húmedo 5Y 6/2 (gris oliva claro); textura arcillosa; estructura en bloques; muy adherente, plástico, firme, muy duro; pocos poros; fuertemente calcáreo; sin raíces.

PERFIL NÚM. Alhama-1

CARACTERÍSTICAS MACROMORFOLÓGICAS

Localización: A 1,8 km de Alhama de Granada en dirección a Granada.
Coordenadas: 30SVF412540964.
Altitud: 800 m.
Posición fisiográfica: Ladera cóncava.
Topografía circundante: Fuertemente ondulado.
Pendiente: Suavemente inclinado.
Vegetación: Cultivo de cereales.
Material original: Margas verdosas.
Drenaje: Moderadamente bien drenado.
Profundidad del manto: Desconocida.
Humedad: Seco.
Pedregosidad: Sin piedras.
Afloramientos rocosos: Ninguno.
Erosión: Hídrica laminar.
Influencia humana: Cultivo de cereales y leguminosas.
Clasificación: Cambisol vértico (FAO, 1988).

Xerochrept vértico (USDA, 1990).

Hor. Prof. cm. Descripción

Api 0-26 Color en seco 2,5YR 6/2 (gris pardo claro), que en húmedo pasa a 2,5YR 4,5/2 (pardo oliváceo); textura franca; estructura de moderada a débil en bloques subangulares medianos; adherente, ligeramente plástico, friable, duro; frecuentes poros intersticiales, verticales, horizontales y oblicuos; pocas gravas, redondeadas, de naturaleza caliza; calcáreo; eflorescencias blanquecinas; muy abundantes raíces, muy finas, finas y medianas; límite neto y plano.

Ap2 26-45 Color en seco 2,5Y 5/2 (pardo grisáceo) que en húmedo pasa a 2,5 Y 4/2 (pardo grisáceo oscuro; manchas oscuras en el contacto con Api; textura franca; estructura en bloques subangulares medianos; adherente, plástico, friable y duro; frecuentes poros verticales, horizontales y oblicuos; calcáreo; decrece el número de raíces siguen manteniendo igual tamaño; límite neto y plano.

Bw 45-74 En seco presenta un color 2,5Y 6/2 (gris pardusco claro) y en húmedo 2,5Y 4/3 (pardo oliva); textura franco-arcillo-limosa; estructura moderada en bloques angulares gruesos; adherente, plástico, friable, duro; poros frecuentes, finos y medianos, verticales, horizontales y oblicuos exped; frecuentes gravas subredondeadas de naturaleza caliza; calcáreo; decrece el número de raíces que son finas y muy finas; límite gradual y plano.

BC 74-99 Color en seco 2,5Y 6/3 (pardo amarillento claro) que en húmedo pasa a 2,5Y 5/4 (pardo oliva claro); textura franco-arcillo-limosa; estructura en bloques angulares gruesos; adherente, plástico, friable, duro; frecuentes poros, tubulares, caóticos, imped, otros horizontales, verticales y oblicuos exped; presencia de pedregones redondeados en el límite con el horizonte anterior; muy pocas raíces, finas y muy finas; límite neto y plano.

2C >99 Margas areniscosas que presentan un color en seco 2,5Y 6/2 (gris pardusco claro) y en húmedo 2,5Y 4/2 (pardo grisáceo oscuro); textura franco limosa; estructura en bloques; plástico, firme, muy duro; pocos poros, finos y muy finos, verticales, horizontales y oblicuos; frecuentes gravas redondeadas de naturaleza calcárea; muy pocas raíces muy finas.